(1 浙江大学信息与电子工程学院)

(2浙江大学物理学院)

(3 上海交通大学电子信息与电气工程学院)

本文选自《物理》2024年第1期

摘 要

文章回顾了电磁学中的格林函数理论与格林函数方法。首先,引入标量波动方程对应的格林函数,并与信号系统中的冲击响应函数作类比。其次,引入矢量波动方程对应的并矢格林函数,包括均匀和非均匀介质中的格林函数,并探讨其与电磁理论中的互易定理、等效原理之间的联系。最后,介绍了考虑介质的运动效应和电磁场的量子效应下的格林函数理论。此外,文章也探讨了电磁格林函数在无线通信、电磁兼容等工程领域的应用。

关键词格林函数,介质,电磁场,运动效应,量子效应,无线通信,电磁兼容

乔治·格林( Green,1793—1841)在他1828年出版的论文“An Essay on the of to the of and ”中曾说过:“ many of the in the works are for their , it is easy to see they are only to , and that some , of being in every case, is still (虽然前述作品中采用的众多技术手段以其优雅而著称,但不难发现这些技术仅适用于特定场合。因此,我们迫切需要一种更为通用的方法,能够适应各种不同的应用场景)”。他意识到,虽然当时的实验方法在解释特定现象方面非常成功,但它们无法提供一个统一的理论框架来解释所有的电和磁现象。格林提出的方法旨在填补这个空白,通过数学分析提供一个更通用的理论框架均匀分布的密度函数,从而帮助科学家更全面地理解电磁现象。格林的工作对后来的科学家,如麦克斯韦等,产生了深远的影响,他们进一步发展了这些理论,形成了现代电磁理论的基础。格林在他的论文中提出了现在被称为“格林函数”的概念,可用来解决物理学中的各种问题,特别是边界值问题。

所谓格林函数是指一个“单位强度点源”所产生的“效果”;如果把分布源分割为很多不同强度点源的叠加,则它所产生的效果就是这些点源所产生的效果的叠加,这就是格林函数法。因此,格林函数法易于解析表示,对于很多问题的表述更加简洁优雅,也更容易物理上被理解。它是一种已应用于微分方程、电磁学、量子力学、地震学等诸多领域的通用方法,尤其在电磁学领域具有重要的理论意义和工程应用价值。

标量波动方程的格林函数

均匀分布的密度函数_密度均匀分布函数表达式_密度均匀分布函数怎么算

假设自由空间中存在连续、振荡的电荷密度分布ρ(r)/ε0(其时间因子为exp(jωt);这里,除以自由空间的介电常数ε0是为了和常见的格林函数法公式保持一致),可表示成点电荷的线性叠加:

均匀分布的密度函数_密度均匀分布函数怎么算_密度均匀分布函数表达式

将位于r'处的点电荷δ(r-r')产生的振荡电位记作g(r,r');根据线性叠加原理,则该连续电荷分布产生的振荡电位为

密度均匀分布函数怎么算_密度均匀分布函数表达式_均匀分布的密度函数

这里,g(r,r')正是标量波动方程的标量格林函数。

公式(2)更为严格的推导,可利用自由空间的标量波动方程与标量格林函数的定义[1,2]:

密度均匀分布函数表达式_密度均匀分布函数怎么算_均匀分布的密度函数

这里,k0=ω/c是自由空间的波数。将公式(3)乘以电位φ(r')减掉公式(4)再乘以格林函数g(r,r'),然后对源r'积分;考虑到拉普拉斯算符∇2是对称算符(无穷远处边界上的面积分

密度均匀分布函数表达式_均匀分布的密度函数_密度均匀分布函数怎么算

为0,即索末菲辐射条件

密度均匀分布函数怎么算_密度均匀分布函数表达式_均匀分布的密度函数

),便可得到公式(2)。

自由空间中,点源产生的振荡电位是g(r,r')=exp(-jk0R)/4πR,其中R=|r-r'|是源点与场点之间的距离。一方面,当频率趋近于0时,该电位中的振荡项exp(-jk0R)退化成1,标量波动方程的格林函数退化成静电场的格林函数gs(r,r')=1/4πR。另一方面,不难发现自由空间中的格林函数g(r,r')满足空间平移不变性。因此,公式(2)可写成卷积形式:

密度均匀分布函数表达式_密度均匀分布函数怎么算_均匀分布的密度函数

公式(5)可类比到线性、时间平移不变系统的输入信号x(t)与输出信号y(t)的关系:

密度均匀分布函数表达式_均匀分布的密度函数_密度均匀分布函数怎么算

这里,信号系统的冲击响应函数h类比于标量波动方程的格林函数g。

值得注意的是,相比自由空间中的格林函数,任意线性、非均匀介质中的格林函数,并不满足空间平移对称性(非均匀),但标量波动方程的格林函数公式(2)依然成立(线性)。一旦介质满足空间平移对称性,电位就可写成格林函数与电荷分布卷积的形式,能利用快速傅里叶变换进行高效计算,便于工程应用。电磁场的并矢格林函数也是如此。

电磁场的并矢格林函数

均匀分布的密度函数_密度均匀分布函数表达式_密度均匀分布函数怎么算

前面我们介绍了物理量是标量的情况;而电磁场中,如电场是矢量场,此时对应的格林函数将变成什么样呢?为了得到电磁场的格林函数,首先需要回答一个问题:自由空间x方向极化的电流源,会产生什么极化方向的电场呢?答案是x, y, z三个极化方向的电场都会产生!因此,一个任意极化方向的电流源,可分解成x,y,z三个极化方向;而每个极化方向的源又都会产生x,y,z三个极化方向的场。如果将任意极化方向的源写成一个3行×1列的列向量(Jx, Jy, Jz)t,其产生的电场也写成3行×1列的列向量(Ex, Ey,Ez)t。由于麦克斯韦方程是线性的,那么格林函数必然是一个3行×3列的矩阵,其中第1(2, 3)列对应着x(y,z)极化电流产生的矢量电场。如果仍采用矢量形式表达电场和电流,电磁场的格林函数是一种并矢形式,称为并矢格林函数[2,3]。其中,并矢就是二阶张量,可用矩阵表示,也可表示为两个矢量的张量积形式。

考虑时谐电磁场的并矢格林函数

密度均匀分布函数怎么算_密度均匀分布函数表达式_均匀分布的密度函数

,其严格的推导类似标量场,可采用自由空间的矢量波动方程与对应的并矢格林函数定义:

密度均匀分布函数表达式_均匀分布的密度函数_密度均匀分布函数怎么算

这里,μ0是自由空间的磁导率。利用双旋度算符的对称性(无穷远处边界上的面积分为0,即索末菲辐射条件),可得出

密度均匀分布函数表达式_密度均匀分布函数怎么算_均匀分布的密度函数

自由空间中的并矢格林函数具有解析形式,即

密度均匀分布函数表达式_密度均匀分布函数怎么算_均匀分布的密度函数

这里,g(r,r')是标量波动方程对应的标量格林函数。时谐场对应的并矢格林函数

密度均匀分布函数怎么算_密度均匀分布函数表达式_均匀分布的密度函数

,在球坐标系展开,可得到含有1/R3,1/R2,1/R的三项,分别对应感应近场,辐射近场(中场),远场的物理涵义。其中:感应近场与静电场物理规律一致,感应近场的衰减规律1/R3本质上是静电场中电偶极子源的衰减规律;而远场的衰减规律1/R满足功率守恒(坡印亭矢量的球面积分为常数)。此外,感应近场区电磁波的特性主要受源的直接影响,波动性质并不明显,区域内主要发生的是能量的存储和释放,而不是能量的持续传递。因此,感应近场区与虚功率或无功功率更为关联,代表了能量的往复交换而非实际的能量传输。而在远场区,能量以实功率的形式传播,即能量以波的形式从源向外传播,这是无线通信、雷达系统等应用的基础。

根据法拉第电磁感应定理(∇×E=-jωμ0H),自由空间中的磁场可表达为

密度均匀分布函数怎么算_密度均匀分布函数表达式_均匀分布的密度函数

这里,

密度均匀分布函数表达式_均匀分布的密度函数_密度均匀分布函数怎么算

称为磁并矢格林函数;

密度均匀分布函数怎么算_密度均匀分布函数表达式_均匀分布的密度函数

可记作

均匀分布的密度函数_密度均匀分布函数表达式_密度均匀分布函数怎么算

,称为电并矢格林函数。根据算符的对称性,即梯度算符是反对称算符,双梯度算符是对称算符,可以看出电并矢格林函数是对称算符,而磁并矢格林函数是反对称算符。根据电并矢格林函数算符的对称性,可推出电磁场的互易定理[1,2],即

均匀分布的密度函数_密度均匀分布函数怎么算_密度均匀分布函数表达式

。在电路分析中,电场的线积分可得到电压,电流密度的面积分可得到电流,于是得出电路的互易定理V1/I1=V2/I2,也可得出天线互阻抗相等的结论。

对任意线性、非均匀介质(非磁性),若定义如下的电并矢格林函数:

均匀分布的密度函数_密度均匀分布函数表达式_密度均匀分布函数怎么算

则电场表达式(9)和磁场表达式(11)依然成立。其中,

密度均匀分布函数怎么算_均匀分布的密度函数_密度均匀分布函数表达式

是各向异性介质的介电常数张量。但在非均匀介质中,自由空间并矢格林函数的空间平移对称性无法保持,公式(12)在一般情况下不存在解析解,只能用数值计算得出。

在直角、柱、球坐标系中,对平面分层、柱面分层、球面分层介质,并矢格林函数可被解析表达,其中一个基本的思路是将并矢格林函数展开成本征模式,以电并矢格林函数为例,其电场模式可求解如下广义本征值问题:

均匀分布的密度函数_密度均匀分布函数表达式_密度均匀分布函数怎么算

这里的电场模式包括纵向模式(零空间,kλ=0)和横向模式(kλ≠0)。这些模式可能是连续的,也可能是离散的,取决于电磁系统的边界条件(开放问题或闭合问题)。根据本征模式的正交完备性,并矢格林函数可展开成

密度均匀分布函数怎么算_均匀分布的密度函数_密度均匀分布函数表达式

这里的求和符号代表离散谱的贡献,积分符号代表连续谱的贡献。

并矢格林函数与等效原理

均匀分布的密度函数_密度均匀分布函数表达式_密度均匀分布函数怎么算

根据对偶原理[1,2],引入磁流,公式(9)和(11)的对偶形式为

密度均匀分布函数怎么算_密度均匀分布函数表达式_均匀分布的密度函数

综合公式(9)与(16)和(11)与(15),可得到电场和磁场的并矢格林函数表达[1,2]:

密度均匀分布函数怎么算_密度均匀分布函数表达式_均匀分布的密度函数

考虑自由空间中射频芯片的电磁干扰问题(图1(a))。可用一个闭合曲面或无限大的平面包围该芯片,在闭合曲面的外边界(外法线方向

密度均匀分布函数表达式_均匀分布的密度函数_密度均匀分布函数怎么算

)定义等效电流

均匀分布的密度函数_密度均匀分布函数怎么算_密度均匀分布函数表达式

和等效磁流

密度均匀分布函数表达式_密度均匀分布函数怎么算_均匀分布的密度函数

(图1(b))。当场点r位于闭合曲面的外边界或外部区域时,公式(17),(18)的曲面积分形式依然成立(体积分变成面积分),称为等效原理或惠更斯原理。当场点r位于闭合曲面的内边界或内部区域时,公式(17),(18)左侧的电磁场为零,称为消失定理。等效原理或惠更斯原理具有明确的物理意义(波前上每一点均可看作为新的波源),而消失定理是一种数学的结论或解析计算的结果。

均匀分布的密度函数_密度均匀分布函数表达式_密度均匀分布函数怎么算

图1 自由空间中射频芯片的电磁干扰问题 (a)原问题:分析射频芯片在自由空间中产生的电磁干扰(射频芯片由于设计不合理而产生天线效应,部分走线或连接线中的传导电流将辐射出电磁波);(b)等效问题1:任意闭合曲面外部区域的电磁辐射等效成闭合曲面外边界上的等效电流和等效磁流产生的电磁辐射。计算电磁辐射采用自由空间中的并矢格林函数;(c)等效问题2:闭合曲面内部填充理想电导体,外部区域的电磁辐射等效成外边界上的等效磁流产生的电磁辐射。计算采用自由空间填充理想电导体后的并矢格林函数;(d)等效问题3:闭合曲面内部填充理想磁导体,外部区域的电磁辐射等效成外边界上的等效电流产生的电磁辐射。计算采用自由空间填充理想磁导体后的并矢格林函数

根据时谐电磁场的唯一性定理[1,2],如果给定某个区域中的源和其边界面上的切向电场或切向磁场,则电磁场的解是唯一的。因此,针对上述射频芯片的电磁干扰问题,若仅给定等效电流或等效磁流(等价于仅给定切向磁场或切向电场),能否求出外部区域的辐射场呢?答案是肯定的。一方面,如果边界面上的等效电流

均匀分布的密度函数_密度均匀分布函数怎么算_密度均匀分布函数表达式

和等效磁流

密度均匀分布函数表达式_密度均匀分布函数怎么算_均匀分布的密度函数

已知,则外部场实际上与内部媒质无关,因此可以看成是内部与外部相同(都是自由空间),所以公式(17),(18)中的并矢格林函数仍是自由空间中的格林函数。

另一方面,为了方便工程应用(仅测量闭合曲面边界面上的切向电场或切向磁场),可在内部区域填充理想电导体或理想磁导体(图1(c),(d)),这样公式(17)中的等效电流项或等效磁流项消失,但是对应的并矢格林函数需要修正或重新计算,分别满足边界条件

密度均匀分布函数表达式_密度均匀分布函数怎么算_均匀分布的密度函数

密度均匀分布函数怎么算_均匀分布的密度函数_密度均匀分布函数表达式

。对于无限大的平面来讲,内部(下方)区域填充理想电导体或理想磁导体后,并矢格林函数的修正十分简单,只要将公式前面乘以因子2即可,仍可采用自由空间的并矢格林函数,这实际上是应用谢昆诺夫()等效以及镜像法的结果[4]。因此,对于无限大平面,存在两种更为简单的等效原理形式,有重要的工程应用:

密度均匀分布函数怎么算_密度均匀分布函数表达式_均匀分布的密度函数

并矢格林函数与运动目标

均匀分布的密度函数_密度均匀分布函数表达式_密度均匀分布函数怎么算

单频电磁信号经自由空间中的非均匀运动目标散射后,频谱会发生扩展,形成多普勒()频谱。自由空间中,将单频入射平面波

密度均匀分布函数表达式_均匀分布的密度函数_密度均匀分布函数怎么算

从实验室坐标系K通过洛伦兹变换

密度均匀分布函数表达式_均匀分布的密度函数_密度均匀分布函数怎么算

转换到以速度v匀速运动的随动坐标系K'后,仍具有

密度均匀分布函数怎么算_均匀分布的密度函数_密度均匀分布函数表达式

的平面波形式。这里,

密度均匀分布函数怎么算_均匀分布的密度函数_密度均匀分布函数表达式

密度均匀分布函数表达式_密度均匀分布函数怎么算_均匀分布的密度函数

的关系和(t ',r ')与(t, r)的关系,满足如下的洛伦兹变换[5]:

密度均匀分布函数表达式_均匀分布的密度函数_密度均匀分布函数怎么算

其中,

密度均匀分布函数怎么算_密度均匀分布函数表达式_均匀分布的密度函数

。从上式能看出:“时间与频率”和“空间与波矢”洛伦兹变换形式之间的相似性。运动目标在其随动坐标系中是静止的;因此,可以在随动坐标系中直接用常规计算电磁学方法,求解运动目标在变换后的入射波作用下的等效电流

均匀分布的密度函数_密度均匀分布函数怎么算_密度均匀分布函数表达式

和等效磁流

密度均匀分布函数表达式_密度均匀分布函数怎么算_均匀分布的密度函数

。利用静态标量格林函数

均匀分布的密度函数_密度均匀分布函数表达式_密度均匀分布函数怎么算

计算随动坐标系中的散射电磁场

密度均匀分布函数怎么算_均匀分布的密度函数_密度均匀分布函数表达式

均匀分布的密度函数_密度均匀分布函数怎么算_密度均匀分布函数表达式

,然后通过洛伦兹反变换

均匀分布的密度函数_密度均匀分布函数怎么算_密度均匀分布函数表达式

,将目标散射场转换到实验室坐标系中,得到运动目标在与原来入射场相同实验室坐标系下的散射电磁场

密度均匀分布函数表达式_密度均匀分布函数怎么算_均匀分布的密度函数

密度均匀分布函数表达式_密度均匀分布函数怎么算_均匀分布的密度函数

[6],

密度均匀分布函数表达式_均匀分布的密度函数_密度均匀分布函数怎么算

这里,矩阵算子

均匀分布的密度函数_密度均匀分布函数怎么算_密度均匀分布函数表达式

均匀分布的密度函数_密度均匀分布函数表达式_密度均匀分布函数怎么算

构成随动坐标系中的静态并矢格林函数,即公式(17),(18)中的并矢格林函数形式。在自由空间中,电磁场的洛伦兹变换算子为[7]

密度均匀分布函数怎么算_密度均匀分布函数表达式_均匀分布的密度函数

该算子将随动坐标系中的电磁场(E',H')t映射到实验室坐标系中的电磁场(E, H)t。值得注意的是,由于非均匀运动目标已等效成随动坐标系中的电磁流,自由空间中电磁场的本构关系并不发生变化,即D=ε0E,B=μ0H;D'=ε0E',B'=μ0H'。实验室坐标系K中的散射场是时域信号,通过傅里叶变换可以得到散射电磁场的多普勒频谱,进而利用目标的纵向和横向多普勒频移特性,实现目标检测与识别。如果主要关注散射电磁场的多普勒频谱,则可以通过交换算子顺序来提高(21)式的计算效率。

并矢格林函数与无线通信信道

均匀分布的密度函数_密度均匀分布函数表达式_密度均匀分布函数怎么算

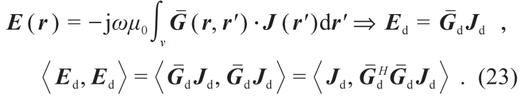
大规模多进多出(MIMO)天线阵列是5G/6G无线通信系统的重要组成部分。目前的研究热点包括全息MIMO、连续口径MIMO、近场MIMO等。分析有限物理口径MIMO天线阵的通信自由度极限,可采用并矢格林函数方法[8—11]。连接发射天线阵与接收天线阵的信道矩阵,正是并矢格林函数矩阵。首先,接收天线处的电场,可用并矢格林函数与发射天线的源或等效源求出;其次,接收天线处的功率密度,正比于电场强度。假设发射天线和接收天线的个数分别是Nt和Nr,上述物理过程的离散矩阵形式可写为

均匀分布的密度函数_密度均匀分布函数表达式_密度均匀分布函数怎么算

这里,Jd是3Nt×1的列向量,代表Nt个发射点处的(等效)电流源(用于近似Nt个发射天线处的发射源),Ed是3Nr×1的列向量,代表Nr个接收点处的矢量电场(用于近似Nr个接收天线处的电场),

密度均匀分布函数表达式_均匀分布的密度函数_密度均匀分布函数怎么算

是3Nr×3Nt的矩阵,代表复杂非均匀信道对应的并矢格林函数矩阵,

密度均匀分布函数表达式_密度均匀分布函数怎么算_均匀分布的密度函数

是发射天线对应的相关矩阵,具有厄密性,可被对角化,即

密度均匀分布函数怎么算_均匀分布的密度函数_密度均匀分布函数表达式

。对角化后,将公式(23)写成量子力学的内积形式:

均匀分布的密度函数_密度均匀分布函数怎么算_密度均匀分布函数表达式

可以看出:信息在每个独立正交的本征模式通道传播,且每个模式传递信息的多少取决于对应本征值的大小和发射电流在该本征模式的投影。这里的对角化处理方法与无线通信中的预编码技术本质是一致的[11]。如果将本征值矩阵Λ中的本征值元素按照从大到小排列,即可分析出信道的自由度极限,即显著本征值的个数(小本征值对应的模式通道将淹没在噪声中)。留给读者一个问题:已知相关矩阵

均匀分布的密度函数_密度均匀分布函数表达式_密度均匀分布函数怎么算

的本征模式可作为发射天线阵的最优发射模式;如果信道是互易的(

均匀分布的密度函数_密度均匀分布函数怎么算_密度均匀分布函数表达式

密度均匀分布函数怎么算_密度均匀分布函数表达式_均匀分布的密度函数

),那么接收天线阵的最优接收模式应该是另一个相关矩阵的本征模式,请给出该相关矩阵的数学表达。

并矢格林函数与量子电动力学

均匀分布的密度函数_密度均匀分布函数表达式_密度均匀分布函数怎么算

并矢格林函数在量子电动力学中最重要的应用之一,是分析电磁场的量子真空涨落。电磁场的量子真空涨落与自发辐射、兰姆移位、力等物理现象有关。由于介质的耗散特性,它将吸收真空中涨落的电磁波,产生涨落的噪声电流;而涨落的噪声电流又将辐射出涨落的电磁波。噪声电流(又称为朗之万源)让介质具有增益的特性,补偿了介质的损耗,使得场与物质相互作用的过程在系综平均意义上满足能量守恒,吸收和辐射电磁波之间达到了统计平衡。根据涨落耗散定理,噪声电流的涨落(相关)特性如下[12]:

均匀分布的密度函数_密度均匀分布函数怎么算_密度均匀分布函数表达式

这里,

均匀分布的密度函数_密度均匀分布函数怎么算_密度均匀分布函数表达式

是平均光子态能量。当温度趋近绝对零度时,平均光子态能量就是零点能ℏω/2 (此时平均光子数为0,无光子),而零点能正是量子真空涨落的根源;当温度足够高时,平均光子态能量近似为经典kBT形式。此外,噪声电流的涨落正比于介质介电常数的虚部,联系到介质的耗散特性。有了电流的涨落,如何得到电磁场的涨落呢?还是利用非均匀介质中的并矢格林函数!根据公式(9)和(25)均匀分布的密度函数,可得:

密度均匀分布函数怎么算_均匀分布的密度函数_密度均匀分布函数表达式

利用公式(12)及其共轭形式,可以推出:

均匀分布的密度函数_密度均匀分布函数怎么算_密度均匀分布函数表达式

(27)

最终,电场的真空涨落正比于非均匀介质中的并矢格林函数的虚部[12—14],其值是正则有限的(没有奇异性)。

均匀分布的密度函数_密度均匀分布函数怎么算_密度均匀分布函数表达式

并矢格林函数虚部的迹(trace)联系到原子所处空间位置(r=r')的光子局域态密度与原子自发辐射率,造成了原子谱线的展宽。不同于并矢格林函数的虚部,它的实部是奇异的(r=r'),联系到兰姆移位现象(原子谱线的移动),数值上可将并矢格林函数的虚部做希尔伯特变换,得到并矢格林函数的实部。

有趣的是,如果把空间不相关的噪声电流,类比成不同用户发送的、不相关的随机比特流,那么公式(28)就直接给出了无线通信中的电场相关函数。例如,对于二维电磁问题,自由空间格林函数(

密度均匀分布函数怎么算_密度均匀分布函数表达式_均匀分布的密度函数

)的虚部是0阶贝塞尔函数

密度均匀分布函数怎么算_密度均匀分布函数表达式_均匀分布的密度函数

,这便是著名的信道模型[15]。该模型假设从不同方向到达的平面波场的相位是随机且均匀分布的,且每个角度下平面波场出现的概率是相等的,这恰好与自由空间中噪声源的统计分布特性紧密关联。量子电动力学与无线通信理论居然联系在一起,这就是格林函数带给我们的惊喜!

笔者发现在电磁格林函数理论和方法的发展中,孔金瓯、戴振铎、曾亮、周永祖、李乐伟等华人学者和林为干、方大纲、梁昌洪、聂在平、龚书喜等国内学者做出了重要贡献。笔者也衷心期待有更多的国内青年学者在该领域做出创新的工作。

致 谢 感谢新加坡国立大学陈旭东教授和北京大学夏明耀教授提出的宝贵意见。感谢浙江大学程亦佳同学帮助绘制插图。

参考文献

[1] Kong J A. Wave . :The ,2008

[2] Chew W C. Waves and in Media. :Wiley-IEEE Press,1999

[3] Tai C T. Green’s in .New York:IEEE Press,1994

[4] C A. ,2nd Ed.:Wiley,2012

[5] J D. ,3rd Ed. :Wiley,1999

[6] Deng H,Xiao G,Liu G. IEEE on ,2022,70(11):10894

[7] 戴希,沙威,陈昊. 物理,2022,51(3):145

[8] Yuan S S A,He Z,Chen X et al. IEEE and ,2022,21(3):446

[9] Yuan S S A,He Z,Sun S et al. ,2022,11:3232

[10] Wei L,Huang C, G C et al. IEEE ,2023,https://doi. org/10.1109/TWC.2023.

[11] Li R,Li D,Ma J et al. IEEE on ,2023,71:3497

[12] Dung H T,Knoll L, D G. A,1998,57(5):3931

[13] Sha W E I,Liu A Y,Chew W C. IEEE on and

,2018,3:198

[14] Chew W C,Sha W E I,Dai Q I. in arch,2020,166:147

[15] R H. Bell ,1968,47(6):957

(参考文献可上下滑动查看)

//

《物理》50年精选文章

密度均匀分布函数表达式_密度均匀分布函数怎么算_均匀分布的密度函数

发表回复

您的邮箱地址不会被公开。 必填项已用 * 标注