最近的工作刚好用上了这个小小的基础知识,就在这分享一下。

“二维随机游走”指的是一个粒子在二维平面上,从原点(x,y)=(0,0)出发,向着一个随机的方向(每个方向等可能)走随机的一段长度(每次选择走的长度也服从某个特定的分布),如此走了N次后,粒子在平面上的位置服从什么分布。

下面就看一下怎么推导。

先考虑粒子的x坐标变化,对于粒子的单次运动,向着x轴正向一侧运动的概率和向着x轴负向一侧运动的概率相同,因此粒子单次运动的x坐标变化的平均值为0,方差记为σ²。如此运动N次,粒子最后的X坐标为

密度均匀分布函数是什么_均匀分布密度曲线_均匀分布的密度函数

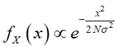
根据概率论的中心极限定理,上面这个随机变量服从均值为0,方差为Nσ²的正态分布,所以粒子N次运动后的x坐标的概率密度函数为

均匀分布密度曲线_密度均匀分布函数是什么_均匀分布的密度函数

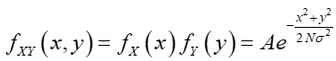
y坐标的变化与x坐标形式相同,有y坐标的概率密度函数

均匀分布的密度函数_均匀分布密度曲线_密度均匀分布函数是什么

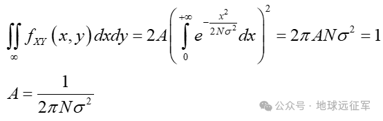
粒子在二维平面上运动,有两个位置自由度,x方向的变化并不会影响y方向的变化,所以x坐标和y坐标的联合概率密度函数为

均匀分布的密度函数_密度均匀分布函数是什么_均匀分布密度曲线

其中A为归一化系数,如下确定

均匀分布的密度函数_均匀分布密度曲线_密度均匀分布函数是什么

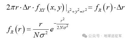
由此又能得出粒子位于矢径长度等于r处的概率密度函数f_R(r)

均匀分布密度曲线_密度均匀分布函数是什么_均匀分布的密度函数

根据大数定律,随着N的增大均匀分布的密度函数,有如下的依概率收敛

密度均匀分布函数是什么_均匀分布密度曲线_均匀分布的密度函数

即单次运动的x坐标变化的平方的平均值为

均匀分布密度曲线_密度均匀分布函数是什么_均匀分布的密度函数

而对于总的x坐标变化有

均匀分布的密度函数_密度均匀分布函数是什么_均匀分布密度曲线

其中代表单次运动步长平方的平均值均匀分布的密度函数,需要指定具体的分布才能得出具体数值。

所以,N次随机游走后,粒子离原点的距离为r的概率密度函数为

均匀分布的密度函数_密度均匀分布函数是什么_均匀分布密度曲线

至于粒子的方位,显然服从0~2π的均匀分布,也就是粒子对于运动到任意方向没有特别的偏好。

假设每次粒子只运动单位步长,即>=1,那么可以把上面的概率密度函数做个图出来

运动次数N=10,100,1000,10000时矢径长度的概率密度函数

可以看出,随着运动次数N的增加,粒子最后的落点倾向于更远离原点,并且分布也变宽,说明粒子位置的不确定性随着N的增加也在变大。

随机游走在很多地方都有应用,如在天文学上讨论光子在散射光深较大的介质中的传播,还有计算机数值模拟、经济学(这咱就不懂了)。很多人应该是从“酒鬼问题”这里听说的随机游走,希望这篇推文能给你提供一点思考。

本文完。

发表回复

您的邮箱地址不会被公开。 必填项已用 * 标注